Skip to content Skip to sidebar Skip to footer

Cse 105 Spring 2023

Cse 105 Spring 2023

Prepare your final written solution without consulting any written material except class notes and the class text. The application will reopen in september 2022 for fall 2023 admission. Restricted to students with sophomore, junior, or senior standing.

Cse 105 Spring 2023
Cse 105 Theory Of Computation Spring 2019 Https from slidetodoc.com

For more information and registration see.

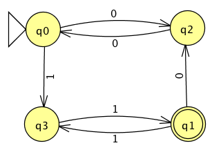
Cse 105 Spring 2023 Cse 12 And Cse 100 And Cse 105;

This course will help you answer fundamental questions about computing: Below is a list of undergraduate courses currently scheduled to be offered starting in fall 2022. Theory of computation (spring 2006) home | syllabus | schedule | exams | homework | sections scores scores are available online at gradesource.

Post a Comment for "Cse 105 Spring 2023"